在稀土资源领域,中国向来以丰富的储量和卓越的品质傲立全球,“中国稀土甲天下”的美誉当之无愧;而内蒙古凭借其得天独厚的地质条件,成为国内稀土资源的佼佼者,“内蒙稀土甲中国”也是实至名归。然而,河北这个看似低调的省份,实则暗藏玄机,正以一种令人惊叹的姿态崛起,向世界宣告:冀州乃稀土资源领域不折不扣的超级潜力黑马!
近年来,河北省在稀土资源勘探方面不断取得突破性进展,多处古风化壳层被发现富集着令人瞩目的稀土元素。像奥陶系马家沟组与上石炭统本溪组之间、武安市暴庄地区等地,都犹如被大自然精心埋藏的稀土宝藏,静静等待着人们去发掘。而本项目聚焦于蔚县阳眷地区特定含稀土泥质岩,宛如开启了一扇通往稀土资源新世界的大门,通过对该地区地质、地球化学特征以及稀土元素相关情况的深入研究,不仅将极大地丰富华北地区稀土元素成矿理论,更为未来的找矿工作提供了坚实可靠的研究基础,有望让河北的稀土资源开发迈向一个全新的高度。
1 区域地质背景:潜力孕育的摇篮
研究区位于河北省蔚县阳眷地区,这里的地质构造犹如一部波澜壮阔的史诗,记录着地球漫长的演化历程。出露地层由老到新依次为元古宇、古生界、中生界,宛如层层叠叠的历史书页。元古宇出露于区域西北部,主要由海相碳酸盐岩等组成,仿佛是远古海洋的遗迹;古生界分布于西北部、中西部,发育寒武系、奥陶系,呈现出典型的海相沉积特征,见证了海洋的兴衰变迁;中生界分布于中西部和北东部,下侏罗统下花园组作为含煤地层,蕴含着丰富的能源信息。区域内断裂构造较为发育,主体呈北东东向—北东向,犹如大地的脉络,为稀土元素的运移和富集提供了通道;还有侵入岩分布,为这片土地增添了神秘的色彩。如此复杂而独特的地质背景,无疑为稀土资源的形成和富集提供了得天独厚的条件,仿佛是大自然特意为河北打造的稀土资源孕育摇篮。

2 研究区地质概况:宝藏初露端倪
研究区内,奥陶系冶里组和侏罗系下花园组下段是两大关键地层。冶里组岩性主要为石灰岩等,局部夹泥岩,仿佛是大地的基石;侏罗系下花园组下段则是粒度偏细的碎屑岩,下部还含有 1 号煤,犹如一座隐藏着丰富资源的地下宝库。区内发育的北西向断层,以及东北部早白垩世二长闪长岩侵入下花园组的地质现象,进一步增加了这片区域的复杂性和神秘性。而最令人兴奋的是,区内稀土元素赋存于两地层间的泥质岩中,含稀土泥质岩分布广泛,北西部和中部层位稳定,具有特定的厚度、倾向和倾角,岩性多样、颜色丰富,仿佛是大自然精心绘制的稀土资源分布地图,每一处都可能隐藏着巨大的惊喜。在勘探过程中,艾都电法仪发挥了重要作用。它凭借其高精度的探测能力,能够敏锐地捕捉到地下岩层的电性差异,帮助勘探人员精准定位含稀土泥质岩的分布范围和埋藏深度,为后续的采样和分析工作提供了有力的支持,大大提高了勘探效率和准确性。

3 样品采集与分析方法:科学探索的利器
为了揭开河北稀土资源的神秘面纱,本研究进行了全面而细致的样品采集工作。共采集了多种类型的样品,包括 42 件基本分析样(采自探槽和钻孔,按不同岩性自含稀土泥质岩底板至顶板分层连续采集)、4 件化学全分析样(采自基本分析副样)、6 件 XRD 样品(采自探槽)、3 件薄片样品(采自探槽和钻孔)以及 3 件重砂样(采自探槽),这些样品岩性多与含稀土泥岩、黏土岩相关,犹如一把把钥匙,将帮助我们打开稀土资源的大门。
不同类型样品由不同具备相关资质认定证书的单位进行测试,确保了分析结果的准确性和可靠性。基本分析样品分析 14 种稀土元素,全面了解稀土元素的种类和含量;化学全分析样品分析铝土和黏土 13 项指标,深入探究样品的化学成分;XRD 样品用日本理学公司设备进行全岩测试,精确确定矿物的种类和结构;重砂样品用双目显微镜等仪器,经特定流程分离后再鉴定,不放过任何一个可能隐藏稀土元素的细节。在这个过程中,艾都电法仪所获取的地下电性数据也为样品采集位置的确定提供了重要参考,使得采集的样品更具代表性和针对性。

4 分析结果:潜力初现锋芒
基本分析结果显示,含稀土泥质岩轻稀土氧化物总量高于其顶、底板围岩,这一发现犹如一颗重磅炸弹,瞬间吸引了众多科研人员的目光。其中轻稀土氧化物总量≥0.05%的地段,更是潜力无限,单样品轻稀土氧化物总量在 0.062%~0.443%之间,地表出露长、单工程有特定厚度且平均厚度达相关规范中风化壳离子吸附型稀土矿床一般工业指标,此类地段一般靠近奥陶系冶里组,仿佛是大自然特意标记的稀土资源富集区域。

4.1 含稀土泥质岩结构构造及组分:微观世界的奥秘
通过肉眼观测和镜下鉴定,含稀土泥质岩呈现出独特的结构构造和组分特征。肉眼观测矿物粒度细小,具泥质结构和不明显窄层状层理构造,仿佛是大自然精心雕琢的艺术品;镜下鉴定其主要成分为黏土矿物,还有粉砂或砂、铁质,可见含砂黏土等多种结构,黏土矿物呈隐晶状—显微鳞片结构,展现出微观世界的奇妙景象。XRD 分析显示其主要组成矿物为黏土、石英及少量钾长石,黏土矿物以高岭石、伊利石为主,人工重砂结果表明副矿物主要为赤褐铁矿等,偶见独居石;化学全分析和基本分析样表明其化学成分主要为 SiO₂、Al₂O₃、Fe₂O₃、K₂O,还有少量其他成分及稀土元素、Ga。这些丰富的矿物和化学成分,为稀土元素的赋存提供了多样化的载体,也进一步证明了河北稀土资源的巨大潜力。



4.2 含稀土泥质岩及其围岩稀土元素地球化学特征:元素的独特舞步
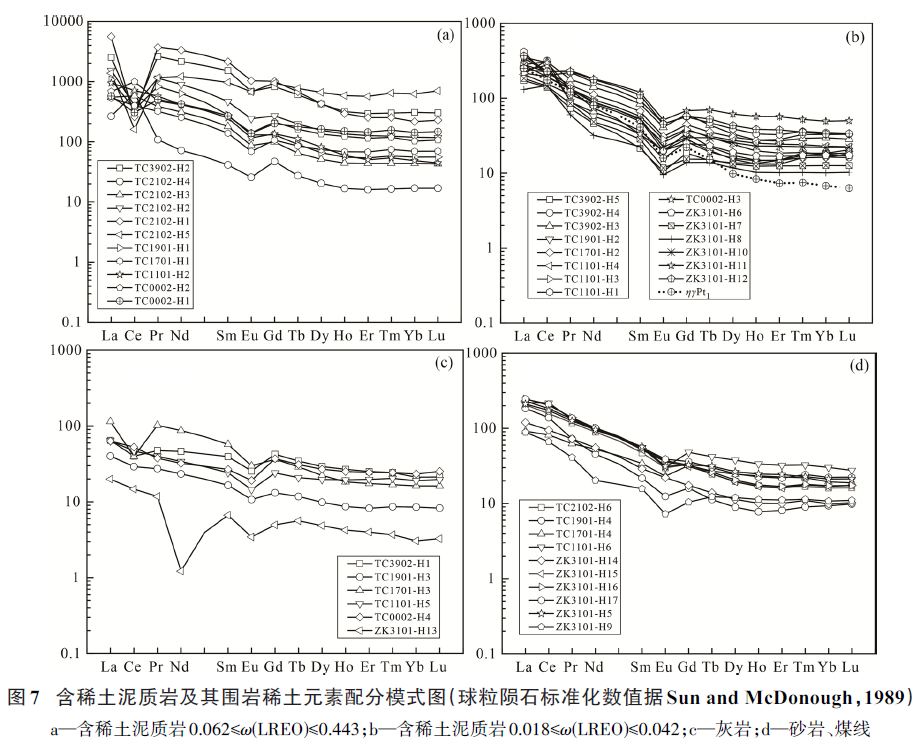
依据表格数据,不同ω(LREO)值的含稀土泥质岩稀土总量、轻/重稀土总量、比值等特征参数各不相同,其稀土元素球粒陨石标准化配分曲线均向右倾,属轻稀土富集型,轻重稀土分异程度大且重稀土间无明显分异,部分具负铕异常,不同ω(LREO)值样品铈异常表现不同,仿佛是稀土元素在跳着一支独特的舞蹈;底板灰岩稀土总量低,属轻稀土富集型,具负铕和大部分负铈异常;顶板砂岩、煤线稀土总量较灰岩高,属轻稀土富集型,具负铕和正铈异常。这些独特的地球化学特征,不仅为研究稀土元素的来源和演化提供了重要线索,更凸显了河北稀土资源的独特性和稀缺性。

5 科学探讨:深入挖掘潜力根源
5.1 稀土元素赋存状态:探寻元素的藏身之处
国内稀土矿床工业类型有原生和风化壳离子吸附型,稀土元素在自然界有独立矿物、类质同象和离子状态等赋存形式。原生矿石多为独立矿物形式,风化壳离子吸附型矿石多为离子吸附形式,类质同象态分散于多种矿物中。河北省不同层位中稀土元素多以类质同象存在于黏土矿物或独立重矿物中,武安市部分地区铁铝质黏土岩中大部分稀土元素与高岭石密切相关,离子半径等因素使稀土元素能以类质同象置换其他元素离子。结合研究区含稀土泥质岩组成矿物,推断研究区内稀土元素主要以类质同象态存在于黏土矿物和副矿物中,少量呈独居石独立矿物相。这种独特的赋存状态,为稀土元素的提取和利用提供了新的思路和方法,也进一步证明了河北稀土资源的开发价值。

5.2 稀土元素物源分析:追溯元素的源头
碎屑岩中 REE 含量主要受物源区岩石成分控制,可作为重要物源示踪物。据 La/Yb - ΣREE 判别图,研究区泥质岩稀土元素主要来自花岗岩,部分由铁镁质火成岩提供。碎屑沉积岩的 Eu 异常可指示源区情况,区内含稀土泥质岩 δEu 反映源自长英质岩石。蔚县盆地北部古元古代变质二长花岗岩稀土特征与区内含稀土泥质岩相似,且副矿物也相似,推断其为研究区含稀土泥质岩中稀土元素主要物质来源。通过对物源的深入分析,我们不仅能够了解稀土元素的形成和演化过程,更能为未来的资源勘探和开发提供重要的方向指引,让河北稀土资源的潜力得到更充分的挖掘。
5.3 古风化环境:见证元素的沉淀历程
化学蚀变指数(CIA)可判断物源区化学风化程度,不同 CIA 值范围对应不同风化程度,高/低 CIA 值分别反映温暖潮湿/寒冷干燥气候下的强/弱风化程度。研究区泥质岩 CIA 值显示其稀土元素物源区发生中等—强风化作用,这表明在漫长的地质历史时期,该地区经历了复杂的气候变化和环境演变,为稀土元素的沉淀和富集提供了有利条件。ICV 指数可确定沉积物成分成熟度,不同成分成熟度的泥质岩 ICV 值不同,ICV<1 代表可能经历再旋回或强烈风化,研究区含稀土黏土岩、泥岩 ICV 值表明其经长距离搬运沉积,成分成熟度较高。这些古风化环境的特征,为我们揭示了河北稀土资源形成的奥秘,也让我们对这片土地的潜力有了更深刻的认识。在这个过程中,艾都电法仪通过对地下岩层电性特征的探测,能够间接反映古风化环境的某些信息,为研究古风化环境提供了新的技术手段和数据支持。

5.4 富集机制:揭开元素聚集的神秘面纱
研究区内稀土元素赋存于特定泥质岩层中,其富集机制犹如一部精彩的科幻电影。中三叠世前,研究区构造单元属燕山 - 辽西裂陷带相关盆地,不同地质时期构造环境不同,形成多种沉积建造,为稀土元素的初始聚集提供了基础;晚三叠世后属多伦 - 蔚县火山喷发带相关盆地,晚三叠世晚期推断源岩古元古代变质二长花岗岩遭风化剥蚀,释放出稀土元素,为稀土元素的进一步富集提供了物质来源。早侏罗世地层沉积前研究区遭强烈风化剥蚀形成岩溶侵蚀地貌,后接受黏土矿物沉积形成泥质岩层,携带稀土元素的水体迁移至此,因 pH 变化稀土元素在剖面下部被黏土矿物吸附聚集,呈现“上低下高”特征,仿佛是大自然精心设计的元素聚集陷阱。之后湖泊沼泽化堆积煤层,又沉积下花园组下段地层,随着上覆沉积物加厚,泥质岩层压实固结,稀土元素大多转变为类质同象进入黏土矿物,完成了稀土元素的最终富集。这一复杂的富集机制,不仅展示了大自然的神奇创造力,更让我们对河北稀土资源的潜力充满了信心。

6 结论:潜力无限,未来可期
研究区含稀土泥质岩的结论令人振奋:稀土元素配分模式具轻稀土富集、轻重稀土分异大且重稀土无明显分异特征,这种独特的配分模式在全球范围内都具有较高的稀缺性和研究价值;主要矿物为黏土、石英,黏土以高岭石等为主,副矿物有赤褐铁矿等,偶见独居石,丰富的矿物组成为稀土元素的赋存提供了多样化的载体;稀土元素多以类质同象态存在于多种矿物中,少量呈独居石独立矿物相,这种独特的赋存状态为稀土元素的提取和利用提供了新的机遇;变质二长花岗岩是主要物质来源,明确了稀土元素的源头,为未来的资源勘探和开发提供了重要方向;早侏罗世地层沉积前研究区风化剥蚀形成岩溶地貌,后沉积形成泥质岩层,因环境变化稀土元素在剖面下部富集,呈“上低下高”特征,这种独特的富集特征为稀土资源的高效开发提供了有利条件。
河北,这片曾经被低估的土地,正以其惊人的稀土资源潜力向世界展示着它的独特魅力。随着科技的不断进步和勘探工作的深入开展,相信河北的稀土资源将在未来大放异彩,成为中国稀土资源领域的一颗璀璨明星,为国家的经济发展和战略安全做出重要贡献。让我们共同期待河北稀土资源的美好未来!